- DOI: 10.31509/2658-607x-202584-180
- УДК (504.054.622.816):528.8(571.122)
Оценка динамики площади и состояния лесов в районах нефтедобычи по космическим снимкам на примере Самотлорского месторождения
© 2025 В. И. Кравцова, М. В. Зимин, Е. Р. Чалова
Московский государственный университет имени М. В. Ломоносова, географический факультет, Россия, 119199, Москва, Ленинские горы, д.1, МГУ, Географический факультет
E-mail: valentinamsu@yandex.ru
Поступила в редакцию: 02.06.2025
После рецензирования: 08.11.2025
Принята к печати: 04.12.2025
Разработка нефтяных месторождений в лесных районах оказывает сильное воздействие на леса. Обустройство месторождений связано с расчисткой территории под площадки нефтедобычи, создание сооружений по первичной обработке нефти, нефтепроводов для ее транспортировки. Развитие нефтедобычи на уже обустроенном месторождении связано с потерями нефти при авариях на пунктах добычи и нефтепроводах и деградацией растительности на участках нефтяных разливов. Оба аспекта — сокращение площадей лесов и деградация растительности в районах нефтедобычи – определяют актуальность их исследований по космическим снимкам. Работа выполнена на примере участка Самотлорского месторождения в Западной Сибири. Материал для исследований – современные космические снимки со спутника WorldView-3 2019 г. и 2022 г., обзорно-топографическая карта 1980 г. Методы исследований – определение площадей лесов по карте 1980 г. и снимкам 2019 г.; дешифрирование нефтяных разливов по космическим снимкам; получение графиков спектральной яркости для участков с разными типами деградированной растительности в пределах разливов и для аналогичных типов растительности вне разливов, в естественных условиях, по снимкам, полученным в год разлива и через три года. В результате выявлено трехкратное сокращение площади лесов исследуемого участка с 1980 г. Полученные по снимкам WorldView-3 кривые спектральной яркости деградированной растительности по сравнению с естественной характеризуются снижением NIR1-максимума до 60% у кустарниковой и до 80% у лесной растительности. Повторная съемка через три года показала уменьшение этих различий, фиксируя частичное естественное восстановление растительности.
Ключевые слова: техногенное воздействие, нефтяные разливы, деградация лесов, естественное восстановление растительности, космические снимки, спектральная яркость, дешифрирование
Разработка нефтяных месторождений, добыча и транспортировка нефти в районах таежной зоны сопровождаются сильнейшим воздействием на леса. Обустройство площадок нефтедобычи, сооружений по первичной обработке углеводородосодержащих продуктов, создание нефтепроводов предусматривают освобождение территории и связаны с прямым уничтожением лесной растительности. Дальнейшая транспортировка продуктов по нефтепроводам сопровождается потерями нефти, ее разливами при авариях, составляющими, по данным экологов России, около 1% добытой нефти, а нефтезагрязнение почв вызывает деградацию естественной растительности. Таким образом, леса первоначально страдают при обустройстве месторождений, когда их площади резко сокращаются, а затем в процессе разработки оставшиеся участки лесов подвергаются воздействию разливов нефти.
В нашем исследовании на примере Самотлорского месторождения в Западной Сибири – одного из крупнейших в мире и разрабатываемого с 1960-х годов – выявляются оба эти аспекта воздействия нефтедобычи на леса. Долговременные изменения, сокращение площади лесов фиксируются при сравнении топографических карт, создававшихся в 1930-1960-х годах, с современными космическими снимками, фиксирующими их площади в настоящее время. Второй аспект – влияние нефтяных разливов на лесную растительность – исследуется по космическим снимкам, на которых отображаются нефтяные разливы, причем используются снимки, полученные как в годы, когда происходили утечки нефти, так и в последующие годы, что позволяет прослеживать изменения в состоянии растительности после разливов.
Изучение воздействия нефтедобычи на состояние лесов привлекает широкий круг исследователей. Сложная задача изучения преобразования ландшафтов, их динамики под сильнейшим антропогенным воздействием безусловно требует тщательных и продолжительных наземных исследований и экспериментов на пробных площадях. Они широко проводятся западносибирскими исследователями и отражены в статьях и научных монографиях о воздействии добычи нефти на экосистемы Западной Сибири (Московченко, 1998; Чижов, 1998; Москаленко, 2006; Соромотин, 2010). Однако пространственной картины изменения ландшафтов региона с выходом на картографирование их динамики в этих работах не давалось. В 1970-1990-х гг. в нашей стране была выполнена космическая фотосъемка со спутников «Ресурс-Ф» и разработана Программа Комплексной Картографической Инвентаризации Природных Ресурсов (ККИПР) в Госцентре «Природа», после чего О. И. Котова составила обзорную карту изменений природной среды в районе озера Самотлор в связи с нефтедобычей (Космические…, 1998). Карта отражает различные виды воздействия на природу при нефтедобыче, но не отвечает на вопросы, как преобразуются лесоболотные ландшафты в условиях техногенного пресса, насколько сокращаются лесопокрытые площади и как изменяются оставшиеся участки лесов. Другое исследование районов нефтеразработок по космическим снимкам выполнено в 2007-2009 гг. в совместном проекте компании «Совзонд» и Научно-аналитического центра рационального природопользования им. В. И. Шпильмана Ханты-Мансийского автономного округа – Югры. По космическим снимкам ALOS-AVNIR-2 была создана цветная мозаика снимков с разрешением 10 м на всю территорию ХМАО и предложена технология обработки и анализа мультиспектральных данных ДЗЗ для автоматизированного выявления и картографирования нефтезагрязненных и нарушенных земель. Однако реальные результаты обработки снимков приводятся в публикации лишь для единичных частных примеров (Абросимов и др., 2009). Таким образом, и в этом случае задача картографирования долговременных изменений экосистем в условиях нефтедобычи оставалась невыполненной, актуальность такого исследования сохраняется.
В связи с этим в нашей работе поставлена задача: на примере одного из районов Самотлорского месторождения определить и закартографировать изменения в распространении лесов на участке нефтеразработок со времени начала нефтедобычи, когда площади лесов были зафиксированы топографическими картами.
Второй аспект – влияние происходящих при нефтедобыче разливов нефти на лесную растительность – исследуется по космическим снимкам, позволяющим проследить изменения растительности за время, прошедшее после разлива. Для такого исследования разлив вначале еще должен быть обнаружен на снимке (отдешифрирован). Вопросы дешифрирования нефтяных разливов в наше время решаются с привлечением гиперспектральных снимков (Кравцова, Зимин, 2023). Для выявления изменений в ландшафте после разлива исследователь обращается к снимкам за последующие годы, не ограничиваясь визуальными признаками состояния растительности, а прибегая к спектральным признакам, также фиксируемым космическими снимками. Такие исследования, как и изучение долговременных изменений распространения лесов, также опираются на наземное изучение влияния нефтяного загрязнения на таежные фитоценозы (Казанцева, 1994). На основе наземных исследований в Нефтеюганском районе делаются попытки обосновать индекс устойчивости биотопов к нефтяному загрязнению (Пижанков и др., 2024).
Проблема нефтяного загрязнения суши широко исследуется и за рубежом, причем стресс растительности служит его индикатором (Arellano et al., 2015). Космические исследования нефтяного загрязнения проводятся в тропических районах (Achard et al., 2018), бассейне Амазонки (Arellano et al., 2015), дельте Нигера (Ozigis et al., 2018). Дистанционные наблюдения сопровождаются лабораторными исследованиями влияния типа загрязнителей, времени воздействия (Lassalle et al., 2019). В ранних лабораторных спектроскопических исследованиях были обнружены пики поглощения гидрокарбонатов в SWIR-диапазоне (Cloutis, 1989), позже предложен гидрокарбонатный индекс HI (Horig et al., 2001; Kühn et al., 2004). Это обусловило внимание к снимкам, использующим SWIR-диапазон, высокодетальным и суперспектральным. К ним относятся и снимки со спутника WorldView-3, которые удалось использовать в нашей работе.
В настоящей статье представлены примеры применения именно таких современных гиперспектральных космических снимков для решения обозначенных выше задач обеих типов – выявления долговременных изменений распространения лесов в районах нефтедобычи и оценки изменений состояния лесной растительности под влиянием нефтяного загрязнения в ближайшие годы, прошедшие после разлива. Исследование выполнено на примере одного из участков Самотлорского месторождения.
РАЙОН ИССЛЕДОВАНИЯ
Самотлорское месторождение в Нижневартовском районе Ханты-Мансийского автономного округа, являющееся одним из крупнейших в мире по запасам нефти, расположено в северной части Западно-Сибирской низменности на правобережье широтного отрезка долины р. Оби (рис. 1). Для этой территории характерны среднетаежные ландшафты низменных озерно-аллювиальных равнин с широким развитием верховых сфагновых и низинных мохово-травяных болот.

Рисунок 1. Юго-восточная часть Самотлорского месторождения на снимке со спутника Landsat. Прямоугольными границами выделен изучаемый участок. Цифрами I-V обозначено положение крупных нефтяных разливов, анализируемых в статье
На месторождении, открытом в 1965 г., уже в 1969 г. началась добыча нефти, которая ведется на протяжении 55 лет, и в течение этого периода природные экосистемы региона подвергаются сильнейшему антропогенному прессу. Наиболее заметные изменения в природный фон вносит строительный этап обустройства промыслов, включающий сооружение буровых площадок, площадок предприятий по подготовке и переработке нефти, строительство автодорог, трубопроводов, линий электропередач. На этапе добычи эксплуатация созданной инфраструктуры связана с аварийностью и нефтяными разливами в процессе добычи нефти на буровых скважинах и при ее транспортировке по нефтепроводам, при работе станций перекачки нефти, факелов сжигания попутных газов. Срок рентабельности скважин не превышает 20 лет, а уже к 2000 г. здесь было пробурено более 14 тысяч скважин, большая часть оборудования которых устарела, что обусловливает ежегодное увеличение роста аварий (Соромотин, 2010). В течение 55-летнего срока эксплуатации месторождения темпы освоения территории и нефтедобычи были неравномерными, наиболее интенсивное развитие пришлось на 1980-е годы, для 1990-х характерно снижение добычи, сменившееся в 2000-х годах новым подъемом дальнейшего освоения месторождения и добычи нефти.
Границы исследуемого в работе участка размером 7.5 × 13.5 км определяются наличием снимков сверхвысокого пространственного и спектрального разрешения со спутника WorldView-3, послуживших основным материалом для оценки современного распространения лесов и состояния ландшафтов в районе нефтедобычи. Изучаемый участок находится в юго-восточной части Самотлорского месторождения – между юго-восточным берегом озера Самотлор на западе и меридиональным отрезком долины р. Вах перед ее впадением в р. Обь – на востоке. Это низменные озерно-аллювиальные и аллювиальные террасы с абсолютными высотами 50–55 м и превышениями над урезом р. Оби 20–27 м (Астапов и др., 2012). Толща горизонтально залегающих слоистых мелкозернистых песков и супесей (2–5 м) подстилается водоупорными ленточными глинами (Подкошникова, Сущеня, 1981). Наличие водоупорных горизонтов и многолетней мерзлоты при избыточном количестве осадков 600–700 мм приводят к сильной заболоченности местности. Район относится к подзоне средней тайги (Национальный…, 2007); смешанные темнохвойно-березовые леса, преобладающие породы в которых – сосна (Pinus sylvestris), кедр (Pinus sibirica), береза (Betula pubescens) (Овечкина, 2016), занимают лишь наиболее дренированные территории в восточной части района вдоль долины р. Вах. Большая часть района, окружающая озеро Самотлор, занята низинными и верховыми болотами. Для переходной зоны между болотами и лесами характерно сочетание островных участков лесов на микроповышениях рельефа на 0.5 м с ложбинами между ними, занятыми травянисто-кустарничковыми сообществами.
На всей территории развита густая сеть площадок кустовых нефтескважин, соединенных линиями дорог с тянущимися вдоль них трубопроводами, а также площадок предприятий по подготовке и первичной переработке нефти. Вдоль восточной границы участка проходит автотрасса Нижневартовск – Радужный, восточнее которой протягиваются магистральные нефтегазопроводы. Весь участок в разных направлениях пересекают коридоры трасс линий электропередач и систем трубопроводов.
МАТЕРИАЛЫ И МЕТОДЫ ИССЛЕДОВАНИЯ
В качестве основного материала, характеризующего природные ландшафты района в начальный период разработки месторождения, по истечении первого десятилетия добычи нефти, использована обзорно-топографическая карта масштаба 1:200 000 издания 1981 г., характеризующая состояние территории на 1980 г. (рис. 2). В ее основу положены материалы аэрофотосъемки, предназначенной для крупномасштабного топографического картографирования. Условными знаками предусмотрен показ границ лесных массивов (без указания породного состава). Для болот предусмотрены разные обозначения проходимых и непроходимых болот с указанием глубины последних, но без четкого разделения их контуров. Также без указания границ распространения дается по болотам знак редколесья. На карте показаны многочисленные элементы инфраструктуры, но в данном исследовании они использовались лишь для привязки природных объектов.

Рисунок 2. Фрагмент обзорно-топографической карты масштаба 1:200 000 на исследуемый район. Прямоугольными границами выделен изучаемый участок
В качестве основных материалов, характеризующих современное распространение и состояние лесов, как и состояние ландшафтов в целом, использованы снимки с запущенного в 2013 г. спутника WorldView-3, ведущего высокодетальную и мультиспектральную съемку: в панхроматическом канале с разрешением 31 см, в 8 каналах видимого и ближнего инфракрасного диапазона с разрешением 1.24 м и 8 каналах среднего инфракрасного диапазона (в англоязычной литературе – коротковолнового SWIR-диапазона) с разрешением 3.7 м (табл.).
Таблица. Спектральные диапазоны съемки спутника WorldView-3
| Название диапазона | Длины волн, мкм | Номера спектральных зон |
| Режим VNIR, панхроматический
Разрешение 31 см |
||
| PAN | 0.50 – 0.90 | |
| Режим VNIR, многоспектральный
Разрешение 1.24 м |
||
| Coastal | 0.40 – 0.45 | 1 |
| Blue | 0.45 – 0.51 | 2 |
| Green | 0.51 – 0.53 | 3 |
| Yellow | 0.575 – 0.625 | 4 |
| Red | 0.63 – 0.69 | 5 |
| RedEdge | 0.705 – 0.745 | 6 |
| NIR-1 | 0.77 – 0.895 | 7 |
| NIR-2 | 0.86 – 1.04 | 8 |
| Режим SWIR
Разрешение 3.7 м |
||
| SWIR-1 | 1.195 – 1.225 | 9 |
| SWIR-2 | 1.550 – 1.590 | 10 |
| SWIR-3 | 1.640 – 1.680 | 11 |
| SWIR-4 | 1.710 – 1.750 | 12 |
| SWIR-5 | 2.145 – 2.185 | 13 |
| SWIR-6 | 2.185 – 2.225 | 14 |
| SWIR-7 | 2.235 – 2.285 | 15 |
| SWIR-8 | 2.295 – 2.365 | 16 |
Эти снимки привлекают внимание исследователей нефтяного загрязнения в связи с тем, что углеводороды, излившиеся при авариях, имеют спектральный отклик (полосы поглощения) в некоторых зонах SWIR-диапазона (Cloutis, 1989; Horig et al., 2001). В настоящем исследовании они обеспечили оценку современного состояния ландшафтов, подвергшихся нефтяным разливам.
Для прослеживания изменений растительности, происходящих в ближайшие годы после разлива, применяются материалы повторной съемки. В нашем случае удалось использовать снимки со спутника WorldView-3 на две даты: 01.07.2019 и 25.09.2022.
Снимок WorldView-3, полученный 1 июля 2019 г., показывает состояние растительности при ее максимальном сезонном развитии, а снимок 29 сентября 2022 г. – при осеннем увядании. Для суждения о влиянии нефтяного разлива на состояние растительности, необходимо при сравнении снимков учесть различия в фенологических условиях, что потребовало разработки дополнительных методических приемов.
Методика выявления долговременных изменений в распространении лесов очень проста и предусматривает составление двух карт (рис. 3), показывающих распространение лесов в 1980 г. (контуры лесов, выделенные по обзорно-топографической карте) и в 2019 г. (контуры лесов, отдешифрированных по снимку WorldView-3), с определением площадей лесов на обе даты.

Рисунок 3. Площади лесов на исследуемом участке Самотлорского месторождения в 1980 г. (по топографической карте масштаба 1:200 000) и 2019 г. (по снимку со спутника WorldView-3): 1– леса, 2 – травянисто-кустарниковые суходольные пустоши на месте уничтоженных лесов, 3 – верховые и низовые болота, 4 – участки предприятий по первичной переработке нефти, 5 – озера
Методика выявления изменений состояния растительности на участках нефтяных разливов в ближайшие годы после разлива значительно сложнее и предусматривает в первую очередь дешифрирование площади разлива. Предложенная нами методика основана на визуальном дешифрировании снимков WorldView-3 в специально подобранном варианте цветового синтеза SWIR1-NIR1-RedEdge с проверкой правильности выделения разливов по снимкам сверхвысокого разрешения, доступным в приложении GoogleEarth (Кравцова, Зимин, 2023). После определения территории разлива оценка состояния растительности в его пределах предусматривает построение по снимкам спектральных кривых деградированной растительности и их сопоставление с кривыми аналогичной естественной растительности вне зоны разлива. Для выявления изменений определенную сложность составляли неодинаковые сезонные условия развития растительности на повторных снимках с 3-летним интервалом, что потребовало дополнительного определения спектральных кривых естественной растительности на снимках за разные годы и повторного сравнения спектральных кривых естественной и деградированной растительности в порядке учета различий в сезонных условиях съемки. Таким образом была обеспечена своеобразная фенологическая коррекция.
РЕЗУЛЬТАТЫ И ИХ ОБСУЖДЕНИЕ
Сокращение площади лесов
Первое, что бросается в глаза при сравнении карт на рис. 3, – значительное, более чем в три раза, сокращение площади лесов. Компактные лесные массивы, занимавшие в пределах исследуемого участка в 1980 г. площадь 63 км2, теперь распространены вдоль долины р. Вах восточнее трассы Нижневартовск – Радужный. Западнее трассы леса сохранились в виде небольших островных участков общей площадью 20 км2 и по долинам двух притоков р. Вах в северной и южной частях района. На прежде залесенной территории сохранились лишь островные участки лесов площадью 1–5 га. На микроповышениях рельефа до 0.5 м сохранились преимущественно участки до 10 га, разделенные лишенными леса территориями с травянисто-кустарничковой и кустарниковой растительностью, приобретшими характер суходольных пустошей. Формирование таких пустошей обусловлено сведением лесов на участках нефтедобычи.
Изменился и характер оставшихся лесов. Пока еще сохранившиеся лесные массивы сильно фрагментированы широкими (до 100 м) коридорами линий ЛЭП и систем трубопроводов, рассекающими их в разных направлениях, значительными (порядка 1 км2) площадями нефтеперерабатывающих предприятий и многочисленными небольшими (1–2 га) площадками кустовых скважин, а также подходящими к ним дорогами с трубопроводами. Эти изменения в фрагментированности лесов, слабо отображаемой на топографической карте, на рис. 3 не показаны, но их следует иметь в виду.
Все отмеченные при сравнении карт изменения сопоставлялись с материалами наземных исследований и наблюдений на пробных площадях, выполнявшихся за эти годы западносибирскими учеными. В отношении увеличения фрагментированности специалисты указывают, что создание разветвленной сети различных коммуникаций приводит к массовому образованию новых опушек леса, недостаточно устойчивых к ветровому воздействию, что способствует увеличению ветровальности (Чижов, 1998).
Одна из причин исчезновения лесов – увеличение площадей вырубок для нужд предприятий нефтедобычи, сопровождающее развитие промышленной инфраструктуры месторождения. К тому же благодаря возможности использования дорожной сети, проложенной для нужд месторождения, активизируется деятельность лесохозяйственных предприятий (Скарятин, Тихомирова, 2012). Имеются и другие причины. Анализируя картину гибели лесов региона, исследователи приходят к выводу, что по глубине экологических изменений техногенное затопление и подтопление лесопокрытых площадей в местах перекрытия поверхностного стока насыпями автодорог и буровых площадок оказывается сильнее механического разрушения растительного покрова (Чижов, 1998).
Континентальность климата и значительное распространение сосняков определяют высокую естественную пожароопасность лесов района. По мере освоения территории под нефтегазодобычу увеличивается вероятность возникновения лесных пожаров (Скарятин, Тихомирова, 2012), что является одним из косвенных последствий воздействия антропогенных факторов. Катастрофическая ситуация сложилась в 1987–1991 гг., в период максимальной рубки лесов и добычи нефти, когда количество возгораний по сравнению с 1970-ми годами увеличилось в 3.5 раза и составляло 1–2.5 тыс. пожаров в год (Чижов, 1998).
Ко всем этим причинам сокращения площади лесов добавляется роль нефтяного загрязнения поверхности в связи с авариями и утечками на нефтепроводах. Древостой погибает полностью на участке разлива, если нефть сплошь покрывает почву и стоит большую часть года (Московченко, 1998). Замазученность выше 40% вызывает полную гибель хвойных пород, а свыше 45% – и лиственных. Наибольшую устойчивость к нефтяному загрязнению проявляет береза высотой более 0.5 м. Устойчивость растений травяно-кустарничкового яруса ниже, чем древесного, из-за неглубокого проникновения корневой системы. Но по мере деградации нефти происходит восстановление растительности. На аварийных разливах деградационные изменения древостоя обычно заканчиваются в течение 2–3 лет (Чижов, 1998). Аварии происходят в основном на внутрипромысловых нефтепроводах (плотность аварий на них в 150–200 раз выше, чем на магистральных), а на них преобладают небольшие разливы площадью менее 1 га. Поэтому. учитывая относительно малые площади повреждений и возможности самовосстановления, нефтяные разливы представляют собой лишь дополнительный фактор исчезновения лесов исследуемого района.
В какой мере сокращение площадей лесов сопровождалось изменением их породного состава? В смешанных темнохвойно-березовых лесах района основу составляют три породы – сосна, кедр, береза (Овечкина, 2016). Вырубаются в первую очередь хвойные насаждения. Наибольшую устойчивость к нефтяному загрязнению, как и к другим видам воздействия, проявляет береза (Чижов, 1998). По этим причинам в оставшихся островных участках лесов преобладает береза, а хвойные породы характерны для сохранившихся в восточной части района лесных массивов. На расчленяющих эти массивы трассах линейных сооружений в восстановлении растительного покрова в первые годы после его нарушений преобладают травы и мхи, позднее заметное участие в нем принимают кустарнички и кустарники, подрост деревьев. Однако прежняя роль лишайников в этих сообществах за исследованный томскими специалистами 33-летний период не восстановилась (Москаленко, 2006).
Состояние лесов на участках разливов нефти
Деградация растительности при разливах. Второе направление наших исследований по космическим снимкам – изучение состояния лесов, деградировавших при нефтяных разливах. Эти исследования опираются на анализ спектральных характеристик растительности, зафиксированных космическими съемочными системами. В нашей работе используются гиперспектральные космические снимки со спутника WorldView-3, на которых при использовании варианта цветового синтеза SWIR1-NIR1-RedEdge удается визуально дешифрировать нефтяные разливы по предложенной нами методике (Кравцова, Зимин, 2023).
Для обоснования в перспективе методики автоматизированного дешифрирования нефтяных разливов по гиперспектральным космическим снимкам используются спектральные характеристики – графики (кривые) спектральной яркости (либо спектральной отражательной способности) объектов, находящихся на участках нефтяных разливов и вне этих участков. На рис. 4 представлены кривые спектральной яркости для различных видов объектов на территории месторождения, полученные по снимкам WorldView-3 с использованием всего набора спектральных зон.

Рисунок 4. Кривые спектральной яркости объектов месторождения
Методология исследования предусматривает сравнение характеристик спектральной яркости участков с идентичной растительностью, находящихся вне разлива (естественное состояние) и в пределах разлива, с подразделением последних по степени нефтяного загрязнения в зависимости от состояния растительности (слабая, средняя, сильная деградация растительности). Для определения спектральной яркости выделялась площадь объекта данного вида, в пределах которой проведено осреднение спектральной яркости для каждого спектрального канала. Сравнение пар спектральных кривых естественной и деградированной растительности одинакового типа позволяет выявить спектральные признаки нефтяного загрязнения.

На рис. 5 представлено изображение значительных нефтяных разливов, наблюдавшихся в исследуемом районе и отдешифрированных по снимкам WorldView-3 (положение разливов отмечено на рис. 1). Охарактеризована растительность в районах разливов и указаны номера спектральных профилей, полученных в пределах разливов и вне их.
На рис. 6 приведены кривые спектральной яркости основных типов растительности, распространенной на участках нефтяных разливов (травяно-кустарничковой, кустарниковой, мелколесной, лесной), полученные по снимку WorldView-3 01.07.2019 г. при различной степени нефтяного загрязнения, в сопоставлении со спектральными кривыми аналогичных типов растительности вне разливов, в естественном состоянии.

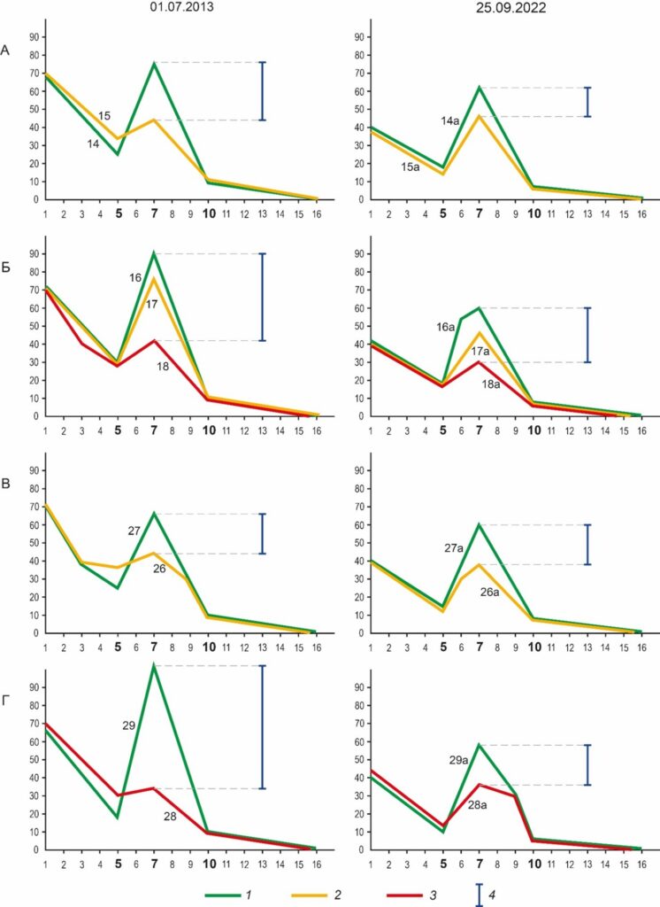
Рисунок 6. Кривые спектральной яркости травяно-кустарничковой (А), кустарниковой (Б), мелколесной (В), лесной растительности (Г) в естественном состоянии и в зонах нефтяных разливов: 1 – естественное состояние, 2 – среднее загрязнение, 3 – сильное загрязнение. По вертикальной оси – спектральная яркость, W/(m2∙μm∙sr); по горизонтальной оси – номера спектральных зон (см. таблицу)
Сравнение кривых спектральной яркости основных растительных объектов, находящихся в зонах нефтяного загрязнения и вне их (рис. 6), показывает основные характерные особенности спектральных кривых деградировавшей растительности – некоторое повышение яркости в красной зоне и резкое ее снижение в ближней инфракрасной. Присущее здоровой растительности снижение отражения солнечного излучения в красной зоне (Red-минимум, связанный с поглощением красных лучей хлорофиллом) в результате деградации при нефтяном загрязнении становится менее выраженным. В то же время на участках загрязнения у деградировавшей при разливе растительности существенно уменьшаются значения яркости в ближней инфракрасной зоне (снижение NIR1-максимума) – основного показателя активной вегетации растительности. Как следует из графиков (рис. 6), уменьшение яркости NIR1 достигает 50-60% у кустарниковой и 70-80% у лесной растительности. В результате ход кривой спектральной яркости деградировавшей растительности выравнивается, постепенно теряя на участках с сильным нефтяным загрязнением характерный для живой растительности вид, и приближается к ходу кривой спектральной яркости нефти. Эти особенности – уменьшение Red-минимума и резкое снижение NIR1- максимума – характерны для разных типов растительности, но особенно четко выражены для лесов.
Самовосстановление деградировавшей растительности. Для ряда участков нефтяных разливов, вызвавших гибель лесной растительности, при сравнении снимков за разные годы удается проследить обратные по отношению к деградации процессы самовосстановления растительности, привлекающие особое внимание исследователей (Зубайдуллин, 2020). Спектральные кривые таких участков деградировавшей из-за разлива растительности со временем вновь испытывают изменения, приобретая характерный для здоровой растительности вид – на них становится выраженным Red-минимум и все более четко проявляется NIR1-максимум. Нам удалось проследить эти процессы по снимкам, сделанным через три года после разливов.
Приведенные на рис. 7 кривые естественной и деградировавшей при разливах растительности получены для упомянутых ранее участков исследуемого района с разными типами растительности по снимку со спутника WorldView-3 от 1 июля 2019 г., в год нефтяного разлива. Для прослеживания за изменениями состояния растительности в последующие годы 25 сентября 2022 г. была выполнена повторная съемка с того же спутника. Чтобы учесть различия в сезоне съемки в разные годы, была проведена своего рода «фенологическая коррекция». Для этого на участках растительности разных типов, по которым определены их спектральные кривые по снимку 1 июля 2019 г., повторно получены графики спектральных кривых естественной и деградировавшей растительности по снимку 25 сентября 2022 г. Значения спектральной яркости стали ниже, что отражает как снижение общей освещенности от июля к сентябрю, так и осеннее увядание растительности. Однако общий характер кривых живой растительности с ее экстремумами — Red-минимумом и NIR1-максимумом — сохраняется.

Рисунок 7. Кривые спектральной отражательной способности естественной (здоровой) и деградировавшей растительности: А – травянисто-кустарничковой, Б – кустарниковой, В – мелколесной, Г – лесной, полученные по снимкам 01.07.2019 (левая колонка) и 25.09.2022 (правая колонка): 1 – естественная растительность вне нефтяных разливов; деградировавшая растительность в пределах разливов при разной степени загрязнения: 2 – средней, 3 – сильной; 4 – расхождение в положении экстремумов NIR1. По вертикальной оси – спектральная яркость, W/(m2∙μm∙sr); по горизонтальной оси – номера спектральных зон (см. таблицу)
На рис. 7 представлены пары спектральных кривых естественной и деградировавшей при нефтяных разливах растительности четырех исследованных типов, полученные по снимкам 01.07.2019 г., в год разлива (левая колонка) и спустя три года 25.09.2022 г. (правая колонка). Меньшие значения яркости в экстремумах кривых естественной растительности в 2022 г. связаны, как указано выше, с осенним сроком съемки. Существенные изменения претерпели спектральные кривые деградировавшей растительности – на них более четко выражены Red-минимум и NIR1-максимум. Хорошим показателем степени угнетенности растительности может служить различие в яркости естественной и деградировавшей растительности в зоне NIR1-максимума. На графиках оно выделено особым знаком и может быть оценено количественно по шкале яркости.
У травяно-кустарничковой растительности различие в значениях NIR1-максимума естественной и деградировавшей растительности в 2022 г. сократилось вдвое. Несмотря на уменьшение этих значений у естественной растительности осенью, их возрастание у восстанавливающейся растительности приближает ее кривую к кривой естественной растительности.
У кустарников различие в значениях NIR1-максимума естественной и деградировавшей растительности тоже сократилось, но меньше – в полтора раза, также указывая на их успешное самовосстановление.
Для участков мелколесья, которое в нашем районе представлено молодыми посадками, воздействие разлива сказалось особым образом. Во время разлива не листва посадок, а земляные валы и канавы определяли спектральную кривую, существенно отличающуюся от кривых растительных объектов. Через три года спектральная кривая этого участка стала подобной кривым растительных объектов. Поэтому в данном случае показатель различий в значениях NIR1-максимума плохо срабатывает, но форма спектрального профиля редколесья в 2022 г. свидетельствует о восстановлении растительности и на этом участке.
На лесном участке, где воздействие разлива, вызвавшего гибель древостоя, проявилось наиболее ярко, не менее четко выявляются и процессы его естественного восстановления. Различие в значениях NIR1-максимума естественной и деградировавшей растительности сократилось более чем в три раза. У кривой деградировавшей растительности, при разливе почти потерявшей NIR1-максимум, появились оба четко выраженных экстремума, указывая на процесс восстановления лесной растительности.
В целом рис. 7 четко показывает, что расхождение в положении NIR1-максимума спектральных кривых здоровой и деградировавшей растительности, наибольшее в год нефтяного разлива, через три года существенно сокращается, у кривых деградировавшей растительности становится все более выраженным Red-минимум. В результате кривая деградировавшей растительности приближается к естественному аналогу, свидетельствуя о восстановлении жизнедеятельности растений.
Подобное сопоставление, выполненное и для других участков нефтяных разливов, показывает, что и на них наблюдается обратное преобразование спектральных кривых от сглаженных, характерных для растительности, испытавшей высокую степень деградации в результате разлива, к кривым с характерными для живой растительности экстремумами (Red-минимум и NIR1-максимум).
ЗАКЛЮЧЕНИЕ
Космическая съемка сверхвысокого разрешения, в наше время регулярно выполняемая, представляет собой действенное средство контроля за состоянием лесов, подвергающихся в районах нефтедобычи сильнейшему техногенному воздействию. На примере участка Самотлорского месторождения в Западной Сибири при сравнении топографических карт на годы начала разработки месторождения с современными космическими снимками выявлено почти трехкратное сокращение площади лесов с образованием на месте уничтоженных лесов техногенных пустошей. В процессе эксплуатации месторождения оставшиеся леса подвергаются воздействию разливов нефти при ее добыче и транспортировке в связи с авариями нефтепроводов. По космическим снимкам сверхвысокого пространственного и спектрального разрешения со спутника WorldView-3 отдешифрированы нефтяные разливы. Выявлены различия в спектральной яркости растительности в естественном состоянии и при нефтяном загрязнении, обусловливающем снижение яркости в зоне NIR-1 до 60% у кустарников и до 80% у лесов. По материалам повторных съемок дана оценка изменений состояния растительности, деградировавшей при разливах. В выполненном исследовании по снимкам с 3-летним интервалом удалось проследить за процессами естественного восстановления деградировавшей растительности, в том числе лесной, на основе учета ее спектральных свойств. Таким образом, космические снимки представляют действенное средство учета как потерь леса, так и процессов его восстановления. Результаты исследования необходимо учитывать при разработке систем дистанционного мониторинга районов нефтедобычи.
БЛАГОДАРНОСТИ
Работа выполнена в рамках государственного задания по теме «Развитие методов и технологий картографии, геоинформатики и аэрокосмического зондирования в исследованиях природы и общества».
СПИСОК ЛИТЕРАТУРЫ
Абросимов А. В., Беленов А. В., Брагин Е. А. Совместный проект компании «Совзонд» и НАЦ РП им. В. И. Шпильмана – новое слово в космическом контроле недропользования и природопользования // Геоматика. 2009. № 4. С. 64–80.
Астапов А. П., Брадучан Ю. В., Боровский В. В., Воронин А. С. и др. Государственная геологическая карта Российской Федерации. Масштаб 1:1000 000 (третье поколение). Серия Западно-Сибирская. Лист Р-43-Сургут. Объяснительная записка. СПб: Картфабрика ВСЕГЕИ, 2012. 342 с.
Зубайдуллин А. А. Самовосстановление нарушенных фитоценозов на нефтезагрязненных участках суходолов и верховых болот // Наука и образование ХМАО – XXI веку: Сб. тез. докл. Окружной конф. молодых ученых и специалистов. Сургут: СурГУ. 2000. С. 23–26.
Казанцева М. Н. Влияние нефтяного загрязнения на таежные фитоценозы Среднего Приобья: автореф. дис. … канд. биол. наук: 03.03.16. Екатеринбург, 1994. 26 с.
Космические методы геоэкологии. М.: Изд-во Моск. ун-та, 1998. 104 с.
Кравцова В. И., Зимин М. В. Исследование эволюции участков нефтяных разливов по космическим снимкам высокого разрешения на примере Самотлорского месторождения // Актуальные проблемы нефти и газа. 2023. Т. 1. № 40. С. 45–66.
Москаленко Н. Г. Антропогенная динамика растительности тундр и таежных зон // Антропогенные изменения экосистем Западно-Сибирской газоносной провинции. Тюмень: Ин-т криосферы Земли, 2006. С. 61–96.
Московченко Д. В. Нефтегазодобыча и окружающая среда. Эколого-геохимический анализ Тюменской области. Новосибирск: Наука. Сибпредприятие РАН, 1998. 112 с.
Национальный атлас России. Т. 2. Природа. Экология. М., 2007. С. 331.
Овечкина Е. С. Краткий анализ распределения растительности Нижневартовского района // Актуальные вопросы науки и практики XXI в. Материалы 3 Международной научно-практической конф. Нижневартовск, 27-30 ноября 2016 г. Нижневартовск: Изд. центр «Наука и практика», 2016. С. 110–117.
Пижанков И. Н., Харькина М. А., Пижанкова Е. И. Техногенная трансформация эколого-геологических условий при разработке нефтяных месторождений и транспортировке нефтепродуктов (на примере участка Нефтеюганского района, Западная Сибирь) // Техносфера. Материалы I Всероссийской научной конференции с международным участием (17-18 сентября 2024 г.) / ФГБОУ ВО «КубГТУ». Краснодар: Издательский Дом – Юг, 2024. С. 134–137.
Подкошникова С. В., Сущеня В. А. Изменение растительности болот Самотлора под влиянием инженерных сооружений // Известия АН СССР. Серия географическая. 1981. № 4. С. 47–56.
Скарятин В. Д., Тихомирова О. М. Использование и обработка данных дистанционного зондирования при изучении нефте- и газоносных районов Западной Сибири // Аэрокосмический мониторинг объектов нефтегазового комплекса. М.: Научный мир, 2012. С. 435–441.
Соромотин А. В. Воздействие добычи нефти на таежные экосистемы Западной Сибири. Тюмень: Изд-во Тюменского гос. университета, 2010. 320 с.
Чижов Б. Е. Лес и нефть Ханты-Мансийского автономного округа. Тюмень: Изд-во Мандрики, 1998. 144 с.
Achard V., Fabre S., Alakian A., Dubucq D., Deliot P. Direct or indirect on shore hydrocarbon detection methods applied to hyperspectral data in tropical area // Earth Resources and Environmental Remote Sensing/GIS Applications IX. SPIE. 2018. Vol. 10790. P. 172–181. DOI: 10.1117/12.2325097
Arellano P., Tansey K., Balzter H., Boyd D. S. Detecting the effects of hydrocarbon pollution in the Amazon forest using hyperspectral satellite images // Environmental Pollution. 2015. Vol. 205. P. 225–239. DOI: 10.1016/j.envpol.2015.05.041
Cloutis E. A. Spectral reflectance properties of hydrocarbons: remote-sensing implications // Science. 1989. No. 245. P. 165–168. DOI: 10.1126/science.245.4914.165
Horig B., Kuhn F., Oschutz F., Lehmann F. HyMap hyperspectral remote sensing to detect hydrocarbons // International Journal of Remote Sensing. 2001. Vol. 22. P. 1413–1422. DOI: 10.1080/01431160120909
Kühn F., Oppermann K., Hörig B. Hydrocarbon Index – an algorithm for hyperspectral detection of hydrocarbons // International Journal of Remote Sensing. 2004. Vol. 25. P. 2467–2473. DOI: 10.1080/01431160310001642287
Lassalle G., Elger A., Credoz A., Hedacq R., Bertoni G., Dubucq D., Fabre S. Toward quantifying oil contamination in vegetated areas using very high spatial and spectral resolution imagery // Remote Sensing. 2019. Vol. 11. No. 19. P. 2241. DOI: 10.3390/rs11192241
Ozigis M. S., Kaduk J. D., Jarvis C. H. Mapping terrestrial oil spill impact using machine learning random forest and Landsat 8 OLI imagery: a case site within the Niger Delta region of Nigeria // Environmental Science and Pollution Research. 2018. Vol. 26. No. 4. P. 3621–3635. DOI: 10.1007/s11356-018-3824-y
Рецензент: к. г. н., в. н. с. Князева С. В.




